New preprint announcements
Two new hydride-superconductivity preprints — theory-guided discovery from high pressure to quantum nuclear effects
We are pleased to announce two new preprints on arXiv that showcase a core theme of our research: using first-principles theory to guide the discovery and interpretation of superconductivity in hydrides, in close partnership with experiment.
In both projects, our group performed computational work, while the synthesis and experimental characterization were led by Tim Strobel’s team at Carnegie, including high-pressure/low-pressure synthesis and a suite of structural and physical-property measurements. The result is a tight theory–experiment loop: calculations propose targets and mechanisms; experiments test, refine, and uncover the real materials landscape.
1) High-pressure stabilization of Mg2IrH7 — charting a path toward high-Tc Mg2IrH6
Preprint: High-pressure stabilization of Mg2IrH7: Structural proximity to high-Tc superconductivity
Hydride superconductivity is often a story of extreme conditions, metastability, and “hidden” phases. Here, our first-principles work motivates renewed attention to the Mg–Ir–H system because of the tantalizing possibility of Mg2IrH6, a metastable complex hydride predicted to host very high Tc at ambient pressure (PRL 132, 166001).
The experimental team led by Tim Strobel at Carnegie then pushed the system to higher pressures and mapped what forms in practice. Using X-ray diffraction and Raman spectroscopy, they identify the stabilization of cubic Mg2IrH7 above ~40 GPa, coexisting with a closely related hexagonal hydride near Mg2IrH5. Electrical transport shows the cubic Mg2IrH7 is insulating, in line with our ab initio predictions, and it persists metastably upon decompression before reverting.
Why is this exciting, even if the stabilized phase is insulating? Because the combined picture suggests a practical strategy: two nearly identical phases in neighboring compositions can open non-equilibrium pathways to access the long-sought superconducting compound. In other words, this work turns a theoretical “promising target” into a concrete experimental roadmap.
Read the preprint: arXiv:2602.23675
2) Inverse isotope effect in SrPdH/D2.9 — quantum zero-point motion in a low-pressure ternary hydride superconductor
The second preprint highlights a complementary frontier: low-pressure ternary hydrides, where synthesis is more accessible and careful experiments can directly test predictive theory.
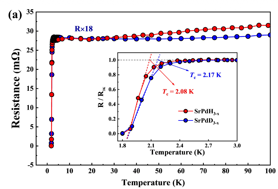
Guided by first-principles calculations, the team at Carnegie synthesized SrPdH3−x at low pressure. Neutron diffraction establishes a near-stoichiometric deuterated composition SrPdD2.9(2) with ~96% deuterium site occupancy, enabling a clean comparison of H vs D. Subsequent transport and magnetic susceptibility measurements reveal superconducting onsets at 2.1 K (H) and 2.2 K (D)—an inverse isotope effect.
Our calculations attribute this behavior predominantly to quantum zero-point motion, underscoring a key message: in light-element superconductors, quantum nuclear effects must be taken into account when making quantitative predictions.
Read the preprint: arXiv:2602.23691
We look forward to feedback and discussion from the community.
